
인공지능으로 읽는 기업 공시: KOSPI 50대 기업 분석 사례 (23.09.01)
최초 작성: 2025. 3. 17.
중립
이 글은 중립적 관점에서 작성된 분석글입니다. 투자는 항상 신중한 판단 하에 진행하시기 바랍니다.
122
0
0
Fact
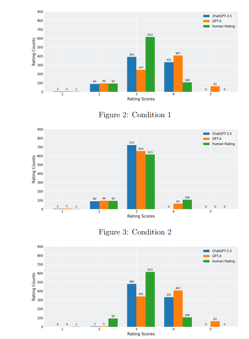
GPT-4 > GPT-3.5-turbo: 모든 조건에서 GPT-4가 더 높은 상관관계를 보이며, 재무 언어 이해 능력이 우수함.
편향 문제: GPT 모델은 긍정적 공시 내용을 과대평가하는 경향이 있음.
전문가 의견과의 일치도:
Cohen’s Kappa: 0.352
단순 합치율: 68% → 비교적 양호한 수준.
최적 조건: GPT-4는 긍정적 평가를 줄이는 조정을 적용한 조건에서 가장 높은 성능을 보임.
Opinion
본 연구는 LLM이 한국 기업 공시 감성 분석에서 일정 수준의 신뢰성을 확보할 수 있음을 입증했다. 특히 GPT-4가 GPT-3.5보다 우수한 성능을 보였다는 점은 최신 LLM을 활용한 금융 데이터 분석의 가능성을 시사한다. 다만, 긍정적 감성 평가를 과대평가하는 경향이 있어 현실적인 적용에는 조정이 필요하다. 또한, 외부 데이터 활용 및 정량적 분석이 불가능하다는 한계가 명확히 드러났으며, 이는 향후 금융 AI 모델 개발 시 해결해야 할 주요 과제가 될 것이다. 결론적으로, GPT-4 기반 감성 분석은 보조 도구로 유용할 수 있으나, 전문가 분석을 완전히 대체하기에는 한계가 있다.
Core Sell Point
GPT-4는 한국 기업 공시 감성 분석에서 유용하지만, 편향성과 데이터 활용 한계로 인해 보완이 필요하다.
122
0
0
댓글
0
가장 먼저 댓글을 달아보세요